当前位置:
首页
>
专题专栏
>
政务公开工作要点
>
市场监管
>
守信公示
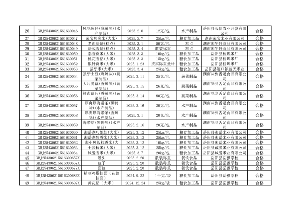
2025年岳阳县市场监督管理局食品监督抽检信息公示(2025年4月30日)
来源:岳阳县市场监督管理局
2025-04-30
浏览量:
1
|
|
|
|